"Machine learning is automatic programming!" — Me

ChatGPT Public Release Date

2026-03-27

ChatGPT was first released to the public on November 30, 2022.

Undirected, Directed And Bipartite Graphs

2025-08-22

Undirected graphs are composed of points connected by line segments. Directed graphs are composed of points connected by vectors. Bipartite graphs are graphs where all the line segments or vectors connect points in one set to points in another set:

bipartite_graph

Graph points are referred to as vertices. Graph line segments and vectors are referred to as edges.

Sentence Embeddings

2025-08-22

Sentence embeddings are vector representations of sentences such that similar vectors correspond to similar meanings. They build upon word embeddings. Two sentence embedding algorithms are Doc2vec and Sentence-BERT.

Binomial Distribution

2025-03-06

For equal sized random samples from populations denoted by Bernoulli distributions, the frequency distribution in the number of ones is the binomial distribution. The average and variance are the corresponding Bernoulli distribution average and variance multiplied by the sample size.

Unsupervised Learning

2025-01-23

Unsupervised learning is automatic programming of pattern detectors. Applications include customer segmentation, fraud detection and recommendation systems.

Permutation Method

2024-11-17

The permutation method is a method to determine feature importances. It involves determining the effects of shuffling feature values on accuracies.

Levenshtein Distance

2024-05-16

Levenshtein distance is a measure of the difference between two strings. It is the number of single character insertions, deletions or substitutions required to convert one into the other.

Here is a Python implementation of a Levenshtein distance calculator:

def lev_dist(str_1, str_2):
        if   not len(str_1):
                result = len(str_2)
        elif not len(str_2):
                result = len(str_1)
        elif str_1[0] == str_2[0]:
                result = lev_dist(str_1[1:], str_2[1:])
        else:
                lev_dist_1 = lev_dist(str_1[1:], str_2)
                lev_dist_2 = lev_dist(str_1,     str_2[1:])
                lev_dist_3 = lev_dist(str_1[1:], str_2[1:])
                result     = min([lev_dist_1, lev_dist_2, lev_dist_3]) + 1

        return result

Median Absolute Deviations

2024-05-08

Medians of distances from medians are referred to as median absolute deviations.

Differences In Random Samples From Different Populations

2024-02-24

Let A and B denote equal sized random samples from different populations, µ denote the average function, and, σ² denote the variance function:

  • σ²(A - B) = µ(((A - B) - µ(A - B))²)

  • σ²(A - B) = µ(((A - µ(A)) - (B - µ(B)))²)

  • σ²(A - B) = σ²(A) + σ²(B) - µ(2(A - µ(A))(B - µ(B)))

  • µ(2(A - µ(A))(B - µ(B))) = µ(2) µ(A - µ(A)) µ(B - µ(B)) = 0

  • σ²(A - B) = σ²(A) + σ²(B).

Bernoulli Distributions

2024-02-20

If the probability distribution of a population is P(n) where P(0) = 1 - p and P(1) = p, then the probability distribution is referred to as a Bernoulli distribution. The population average is p and the population variance is p (1 - p).

Averages Are Means

2024-02-19

Mathematicians tend to use the term average. Statisticians tend to use the term mean. They both correspond to the same formula.

Data Frames

2023-12-18

Data frames are data structures similar to SQL tables.

Decision Tree Based Models Do Not Require Scaled Input Data

2023-12-01

Decision tree based models use flowcharts and therefore do not require scaled input data.

Central Limit Theorem

2023-11-29

The central limit theorem pertains to random sample averages with respect to number populations denoted by probability distributions. If the samples all have size N:

  • Frequency distributions are approximately normally distributed.

  • Averages are approximately population averages.

  • Standard deviations are approximately population standard deviations divided by √N.

  • The accuracies of these approximations improve as N increases.

Population standard deviations, divided by square roots of random population sample sizes, are referred to as standard errors.

The following is the frequency distribution in 20,000 random sample averages. The samples are from a number population denoted by the probability distribution P(n) = 0.41703239142 / (n - 9) for 10 ≤ n ≤ 20 and 0 otherwise. The samples all had a size of 2000: central<em>limit</em>theorem

 

The population average is 13.17032. The standard error is 0.06177. The sample averages have an average of 13.17030 and a standard deviation of 0.06192.

Normal Distribution Function

2023-11-24

The normal distribution function is the following where z(x, μ, σ) = (x - μ) / σ:

normal_distribution

Frequency distributions described by this function are referred to as normal distributions.

PR Curves

2023-11-19

Decreasing classification model thresholds decreases precisions and increases recalls. PR (precision recall) curves show precisions and recalls as thresholds are decreased. Greater accuracies imply greater areas under PR curves.  
pr_curve

ROC Curves

2023-11-18

Binary classification models can have two recalls. If one recall is referred to as the true positive rate, one minus the other recall is referred to as the false positive rate. Decreasing binary classification model thresholds increases both true and false positive rates. ROC (receiver operating characteristic) curves show true and false positive rates as thresholds are decreased. Greater accuracies imply greater areas under ROC curves.  
 
roc_curve

Percentiles

2023-11-13

Percentiles are numbers that correspond to divisions of sets of numbers containing given percentages. For example, 90% of elements in a set of numbers are smaller than the ninetieth percentile.

Interquartile Ranges

2023-11-13

Interquartile ranges are the differences between the largest and smallest quartiles.

How Probabilities For Random Forest Classification Models Are Calculated

2023-11-06

Probabilities for random forest classification models equal the decision tree class percentages.

A Limitation Of Decision Tree Based Models

2023-10-20

Ranges of decision tree based models equal the corresponding training data output value ranges.

Bias Variance Problem

2023-10-18

The bias variance problem corresponds to the problem of needing to somehow avoid both underfitting and overfitting when creating models. Useful techniques include increasing the amount of training data and cross validation.

Large Language Models

2023-10-10

Language models are machine learning models that encode text to predict the most likely next words in word sequences. Applications include summarization, translation and chatbots. Large language models (LLMs) are language models encoding extremely large amounts of text. Their extreme sizes lead to surprising emergent behaviors.

Word Embeddings

2023-10-03

Word embeddings are vector representations of words such that similar vectors correspond to similar meanings. Note that semantically similar words tend to occur near the same other words in texts. Two word embedding algorithms are Word2vec and GloVe.

Transformers

2023-09-30

Transformers are deep learning sequence models that rely on the attention mechanism to determine sequence element relationships. Sequence examples include text, audio and video. Application examples include translation and transcription.

AlexNet

2023-09-06

AlexNet is a famous deep learning convolutional neural network image classifier developed by Alex Krizhevsky, Ilya Sutskever and Geoffrey Hinton. It spurred lots of interest in computer vision and deep learning. The following uses a modified PyTorch implementation of AlexNet, and a graphic processing unit, to implement an image classifier using the CIFAR 10 (Canadian Institute For Advanced Research) dataset:

import torch
import torch.nn
import CIFAR_10

LEARN_RATE = 0.001
MOMENTUM   = 0.9
BATCH_SIZE = 64
N_EPOCHS   = 9
ERROR      = torch.nn.CrossEntropyLoss()
CUDA       = "cuda:0"

def init_dls():
        """
        Initializes DataLoader objects.
        """

        train_data = CIFAR_10.train_data
        test_data  = CIFAR_10.test_data
        train_dl   = torch.utils.data.DataLoader(dataset    = train_data,
                                                 batch_size = BATCH_SIZE,
                                                 shuffle    = True)
        test_dl    = torch.utils.data.DataLoader(dataset    = test_data,
                                                 batch_size = BATCH_SIZE,
                                                 shuffle    = True)

        return train_dl, test_dl

def train(model, train_dl, stepper):
        """
        Trains models.
        """

        for i in range(N_EPOCHS):
                for inputs, outputs in train_dl:
                        results = model(inputs.to(CUDA))
                        stepper.zero_grad()
                        ERROR(results, outputs.to(CUDA)).backward()
                        stepper.step()

def accuracy(model, dl):
        """
        Determines model accuracies for given DataLoader objects.
        """

        n_correct = 0
        for inputs, outputs in dl:
                results    = torch.max(model(inputs.to(CUDA)), 1)[1]
                n_correct += (results == outputs.to(CUDA)).sum().item()
        return 100 * n_correct / len(dl.dataset)

train_dl, test_dl   = init_dls()
model               = torch.hub.load("pytorch/vision",
                                     "alexnet",
                                     weights = "DEFAULT")
model.classifier[6] = torch.nn.Linear(4096, 10)
model.to(CUDA)
stepper             = torch.optim.SGD(model.parameters(),
                                      lr       = LEARN_RATE,
                                      momentum = MOMENTUM)
train(model, train_dl, stepper)
print(f"training accuracy: %{accuracy(model, train_dl)}")
print(f"testing  accuracy: %{accuracy(model, test_dl)}")

Here is CIFAR_10.py:

import torchvision
import torchvision.transforms

TRAIN_FOL   = "./train_data"
TRAIN_MEANS = [0.49139968, 0.48215841, 0.44653091]
TRAIN_STDS  = [0.24703223, 0.24348513, 0.26158784]
TEST_FOL    = "./test_data"
TEST_MEANS  = [0.49421428, 0.48513139, 0.45040909]
TEST_STDS   = [0.24665252, 0.24289226, 0.26159238]

train_trans = [torchvision.transforms.Resize(256),
               torchvision.transforms.CenterCrop(224),
               torchvision.transforms.ToTensor(),
               torchvision.transforms.Normalize(mean = TRAIN_MEANS,
                                                std  = TRAIN_STDS)]
train_trans = torchvision.transforms.Compose(train_trans)
train_data  = torchvision.datasets.CIFAR10(root      = TRAIN_FOL,
                                           train     = True,
                                           transform = train_trans,
                                           download  = True)
test_trans  = [torchvision.transforms.Resize(256),
               torchvision.transforms.CenterCrop(224),
               torchvision.transforms.ToTensor(),
               torchvision.transforms.Normalize(mean = TEST_MEANS,
                                                std  = TEST_STDS)]
test_trans  = torchvision.transforms.Compose(test_trans)
test_data   = torchvision.datasets.CIFAR10(root      = TEST_FOL,
                                           train     = False,
                                           transform = test_trans,
                                           download  = True)

Here are sample results:

Downloading https://www.cs.toronto.edu/~kriz/cifar-10-python.tar.gz to ./train_data/cifar-10-python.tar.gz
100%|██████████| 170498071/170498071 [00:01<00:00, 101605340.72it/s]
Extracting ./train_data/cifar-10-python.tar.gz to ./train_data
Downloading https://www.cs.toronto.edu/~kriz/cifar-10-python.tar.gz to ./test_data/cifar-10-python.tar.gz
100%|██████████| 170498071/170498071 [00:01<00:00, 91944695.56it/s]
Extracting ./test_data/cifar-10-python.tar.gz to ./test_data
Downloading: "https://github.com/pytorch/vision/zipball/main" to /root/.cache/torch/hub/main.zip
Downloading: "https://download.pytorch.org/models/alexnet-owt-7be5be79.pth" to /root/.cache/torch/hub/checkpoints/alexnet-owt-7be5be79.pth
100%|██████████| 233M/233M [00:01<00:00, 231MB/s]
training accuracy: %96.184
testing  accuracy: %88.74

Fully Connected Layers

2023-08-24

Fully connected layers are layers that correspond to Ai + b where i is the input, A is a matrix, and, b is a vector. These are also referred to as linear functions.

Quartiles

2023-07-24

Quartiles divide sets of numbers into quarters. The p25 quartile is the median of the values below the median. The p50 quartile is the median. The p75 quartile is the median of the values above the median.

PyTorch Image Classifier Example

2023-04-23

The following implements a PyTorch image classifier using the CIFAR 10 (Canadian Institute For Advanced Research) dataset:

import torch
import torch.nn
import CIFAR_10

N_CLASSES  = 10
LEARN_RATE = 0.001
MOMENTUM   = 0.9
BATCH_SIZE = 64
N_EPOCHS   = 20
ERROR      = torch.nn.CrossEntropyLoss()

class CNN(torch.nn.Module):
        """
        Defines a convolutional neural network.
        """

        def __init__(self, N_CLASSES):
                super(CNN, self).__init__()
                self.conv_1 = torch.nn.Conv2d( 3, 32, 3)
                self.conv_2 = torch.nn.Conv2d(32, 32, 3)
                self.pool_1 = torch.nn.MaxPool2d(2, stride = 2)
                self.conv_3 = torch.nn.Conv2d(32, 64, 3)
                self.conv_4 = torch.nn.Conv2d(64, 64, 3)
                self.pool_2 = torch.nn.MaxPool2d(2, stride = 2)
                self.line_1 = torch.nn.Linear(1600, 128)
                self.relu_1 = torch.nn.ReLU()
                self.line_2 = torch.nn.Linear(128, N_CLASSES)

        def forward(self, inputs):
                results = inputs
                for f in [self.conv_1,
                          self.conv_2,
                          self.pool_1,
                          self.conv_3,
                          self.conv_4,
                          self.pool_2]:
                        results = f(results)
                results = results.reshape(results.size(0), -1)
                for f in [self.line_1, self.relu_1, self.line_2]:
                        results = f(results)

                return results

def init_dls():
        """
        Initializes DataLoader objects.
        """

        train_data = CIFAR_10.train_data
        test_data  = CIFAR_10.test_data
        train_dl   = torch.utils.data.DataLoader(dataset    = train_data,
                                                 batch_size = BATCH_SIZE,
                                                 shuffle    = True)
        test_dl    = torch.utils.data.DataLoader(dataset    = test_data,
                                                 batch_size = BATCH_SIZE,
                                                 shuffle    = True)

        return train_dl, test_dl

def train(model, train_dl, stepper):
        """
        Trains models.
        """

        for i in range(N_EPOCHS):
                for inputs, outputs in train_dl:
                        results = model(inputs)
                        stepper.zero_grad()
                        ERROR(results, outputs).backward()
                        stepper.step()

def accuracy(model, dl):
        """
        Determines model accuracies for given DataLoader objects.
        """

        n_correct = 0
        for inputs, outputs in dl:
                results    = torch.max(model(inputs), 1)[1]
                n_correct += (results == outputs).sum().item()

        return 100 * n_correct / len(dl.dataset)

train_dl, test_dl = init_dls()
model             = CNN(N_CLASSES)
stepper           = torch.optim.SGD(model.parameters(),
                                    lr       = LEARN_RATE,
                                    momentum = MOMENTUM)
train(model, train_dl, stepper)
print(f"training accuracy: %{accuracy(model, train_dl)}")
print(f"testing  accuracy: %{accuracy(model, test_dl)}")

Here is CIFAR_10.py:

import torchvision
import torchvision.transforms

TRAIN_FOL   = "./train_data"
TRAIN_MEANS = [0.49139968, 0.48215841, 0.44653091]
TRAIN_STDS  = [0.24703223, 0.24348513, 0.26158784]
TEST_FOL    = "./test_data"
TEST_MEANS  = [0.49421428, 0.48513139, 0.45040909]
TEST_STDS   = [0.24665252, 0.24289226, 0.26159238]

train_trans = [torchvision.transforms.Resize((32,32)),
               torchvision.transforms.ToTensor(),
               torchvision.transforms.Normalize(mean = TRAIN_MEANS,
                                                std  = TRAIN_STDS)]
train_trans = torchvision.transforms.Compose(train_trans)
train_data  = torchvision.datasets.CIFAR10(root      = TRAIN_FOL,
                                           train     = True,
                                           transform = train_trans,
                                           download  = True)
test_trans  = [torchvision.transforms.Resize((32,32)),
               torchvision.transforms.ToTensor(),
               torchvision.transforms.Normalize(mean = TEST_MEANS,
                                                std  = TEST_STDS)]
test_trans  = torchvision.transforms.Compose(test_trans)
test_data   = torchvision.datasets.CIFAR10(root      = TEST_FOL,
                                           train     = False,
                                           transform = test_trans,
                                           download  = True)

Here are sample results:

Downloading https://www.cs.toronto.edu/~kriz/cifar-10-python.tar.gz to ./train_data/cifar-10-python.tar.gz
100.0%
Extracting ./train_data/cifar-10-python.tar.gz to ./train_data
Downloading https://www.cs.toronto.edu/~kriz/cifar-10-python.tar.gz to ./test_data/cifar-10-python.tar.gz
100.0%
Extracting ./test_data/cifar-10-python.tar.gz to ./test_data
training accuracy: %85.46
testing  accuracy: %68.43

Convolutional Neural Networks

2023-04-19

Convolutional neural networks are artificial neural networks with layer convolutions. Our eyes function similarly to convolutional neural networks. A famous example is AlexNet.

Convolution And Cross Correlation

2023-04-10

The convolution of functions f and g is defined as follows:

conv

The cross correlation of functions f and g is defined as follows:

conv

Transfer Learning And Fine Tuning

2023-03-18

Transfer learning is supervised learning that uses existing models. Fine tuning is a transfer learning method which modifies existing models using new data. Other methods use existing models unchanged to transform inputs to new models.

Probabilistic Classification

2023-03-16

Classification providing probabilities for all categories is referred to as probabilistic classification.

Data Augmentation

2023-02-27

Data augmentation is adding transformed versions to data. Examples include adding scaled, cropped, flipped and rotated versions to image sets.

Artificial Narrow, General And Super Intelligence

2023-02-23

Artificial narrow intelligence (ANI) software imitates limited aspects of intelligence such as chess programs. Artificial general intelligence (AGI) software imitates most aspects of intelligence such as many science fiction programs. Artificial super intelligence (ASI) software imitates behaviors that surpass most aspects of intelligence.

Active Learning

2023-01-25

Active learning methods are interactive supervised learning labeling methods that try to minimize the amount of labeling.

Data Wrangling

2023-01-17

Data wrangling is data preparation.

Data Cubes

2022-12-09

Data cubes are arrays.

Markov Decision Processes

2022-11-07

Markov decision processes are action and state sequences where:

              Actions lead to rewards and state transitions.

              Reward and state transition probabilities for all actions and states are known.

              Reward and state transition probabilities depend only on present states and not past states.

Many problems are finding Markov decision processes that maximize rewards. Examples include developing chess and traffic light strategies.

Markov Chains

2022-11-07

Markov chains are event sequences where event probabilities depending only on present states and not past states. Examples include Brownian motion and next word predictions.

Reinforcement Learning

2022-11-03

Reinforcement learning is automatic programming of high scorers. Applications include traffic congestion control, chess programs and walking robots.

Transactional And Analytical Databases

2022-10-29

Transactional databases optimize for low data reading and writing. Analytical databases optimize for high data reading. Analytical databases have high redundancy. Both database types are often used together.

Matplotlib, Seaborn, Plotly And Dash

2022-10-29

Matplotlib is a low level plotting application. Seaborn is a high level plotting application built on Matplotlib. Plotly is a high level interactive plotting application. Dash is a dashboard application built on Plotly.

Principal Components

2022-08-31

Principal components are produced by certain linear transformations of vector data. Principal components are eigenvectors of covariance matrices. Eigenvalues of principal components are used to determine feature importances.

Covariance Matrices

2022-08-31

Covariances are defined for set pairs with corresponding elements:

covariance

Covariance matrices contain multiple different covariances.

Pandas Timestamp Limitations

2022-08-27

Pandas Timestamp objects denote dates and times in nanoseconds with 64 bit integers. The implies about a 584 year range. Therefore, Pandas cannot represent dates and times before 1677-09-22T00:12:43.145225 or after 2262-04-11T23:47:16.854775807.

Estimators

2022-07-21

Estimators are model builders.

Summary Statistics

2022-07-05

Summary statistics summarize data. They often include counts, minima, maxima, means, medians, modes, standard deviations, variances and interquartile ranges.

Dummies

2022-05-24

Dummies are one hot encoding bits.

Mean Absolute Errors

2022-05-12

Mean absolute errors are error absolute value averages.

Root Mean Square Errors

2022-05-12

Root mean square errors are residual root mean squares.

Features

2022-04-22

Features are properties.

Loss Functions

2022-04-21

Loss functions define model result errors.

Bidirectional Recurrent Neural Networks

2022-04-04

Bidirectional recurrent neural networks combine the results of two recurrent neural networks where one receives the inputs in reverse order.

Recurrent Neural Networks

2022-04-04

Recurrent neural networks are stateful artificial neural networks where inputs modify states. Results depend on inputs as well as states.

Thresholds

2022-03-25

Many classification models depend on whether certain probabilities are above certain minima. These minima are referred to as thresholds.

Batch Normalization

2022-03-15

It is often useful to modify backpropagation method layer inputs so that each input element has an average of zero and a variance of one per training data subset. This process is referred to as batch normalization.

Backpropagation Momenta

2022-03-15

It is often useful in backpropagation method updates to include fractions of previous updates. These fractions are referred to as momenta.

Specificity

2022-03-15

Sensitivity (recall) corresponds to the fraction of positive values predicted. Specificity corresponds to the fraction of negative values predicted.

Accuracy

2022-03-14

The fractions of values, along the diagonals of confusion matrices, correspond to accuracy.

Correlation Coefficients And Matrices

2022-03-11

Correlation coefficients denote the linearity in relations between two variables. Correlation matrices contain multiple correlation coefficients:

correlation matrix

Scatter Plot Matrices

2022-03-11

Scatter plot matrices contain multiple scatter plots:

scatter plot matrix

Dropout

2022-03-11

Dropout is a backpropagation method regularization technique. It involves ignoring randomly selected function values.

Imputation

2022-03-10

Imputation is the process of replacing missing values in datasets by inferences from the present values.

Backpropagation Method Batches

2022-03-05

Backpropagation method updates can be applied per training subset. These training subsets are referred to as batches. Smaller batch sizes typically lead to greater model accuracies.

Random Forest Methods

2022-02-25

Random forest methods are decision tree methods that use bootstrapping.

Decision Tree Methods

2022-02-25

Decision tree methods create flowchart models.

Box Cox Transformations

2022-02-17

Box Cox transformations, (x - 1) / k, make frequency distributions closer to normal distributions for 0 < k < 1. They are equivalent to log(x) in the limit as k approaches 0. These transformations are also referred to as power transformations.

Bootstrapping

2022-02-17

Bootstrapping is an ensemble method using models built from random input output pair selections. The collections may contain duplicates and be overlapping. Bootstrapping is also referred to as bagging.

Logistic Regression

2022-02-17

Logistic regression is a classification method using the logistic function:

logistic function

Softmax

2022-02-16

The softmax vector function makes components sum to one. They are often used in machine learning models where results are probabilities:

softmax

Scaling vectors affects softmax result vector component distributions. Inverses of these scaling factors are referred to as softmax temperatures.

Pie Charts And Stacked Bar Charts

2022-02-15

Pie charts denote compositions of entities. Stacked bar charts denote compositions of multiple entities:

stacked bubble chart

Scatter Plots And Bubble Charts

2022-02-15

Scatter plots denote relations between two variables. Bubble charts denote relations between three variables:

bubble chart

Histograms And Bar Charts

2022-02-15

Histograms denote variable value interval frequencies. Bar charts denote variable values.

bar chart

Box Plots

2022-02-15

Box plots divide sets of numbers into quarters:

box plot

Confidence Scores

2022-02-11

Confidence scores are probabilities of model results being correct.

Incremental Learning

2022-02-11

Incremental learning is building new supervised learning models from existing ones using new training data.

Object Standardization

2022-02-10

Object standardization is the process of replacing words, in texts, that are not found in dictionaries. These include slang, abbreviations and acronyms.

Oversampling And Undersampling

2022-02-10

Both oversampling and undersampling are processes that modify sets to alter proportions of element types. Oversampling methods may involve adding exact or modified copies of elements that are randomly selected. Undersampling methods may involve removing elements that are randomly selected or selected using k means clustering.

Sensitivity And True Positive Rate

2022-02-10

Both sensitivity and true positive rate are other terms for recall.

Stop Words

2022-02-09

Stop words are common words that are ignored in machine learning.

Type 1 and Type 2 Errors

2022-02-09

Type 1 errors are false positives. Type 2 errors are false negatives.

Stemming And Lemmatization

2022-02-09

Both stemming and lemmatization are processes that remove word variations in texts. Stemming provides greater performance by ignoring word contexts. Lemmatization provides greater accuracy but analyzing word contexts.

Residuals

2022-02-08

Residuals are regression model prediction errors.

Variances And Standard Deviations

2022-02-08

Variances are averages of squared deviations from averages. Standard deviations are square roots of variances.

K Means Clustering

2022-02-02

K means clustering divides vector sets into subsets based on distance. Consider distances from corresponding subset averages. K means clustering minimizes the sums of the squares of these distances.

F1 Scores And Macro F1 Scores

2022-01-30

F1 scores are the harmonic means of precision and recall values. F1 scores are equal to twice the ratios of products and sums. Macro F1 scores are F1 score averages.

Precision And Recall

2022-01-30

The fractions of values that are correct, in rows and columns of confusion matrices, correspond to precision and recall. Precision depends on the number of false positives. Recall depends on the number of false negatives.

Confusion Matrices

2022-01-29

Confusion matrices give information about classification testing results:

confusion matrix

Cross Validation

2022-01-15

Comparing supervised learning training and testing results from different data subsets is referred to as cross validation.

Term Frequency-Inverse Document Frequencies

2022-01-12

Term frequency-inverse document frequencies estimate the importance of words in documents. These estimates grow with word frequencies in documents, but, decrease with word frequencies in other documents. Estimates are often presented in matrices where rows and columns correspond to documents and terms respectively.

Z Scores And Standardization

2022-01-12

The number of standard deviations an element of a set differs from the average is referred to as its z score. An alternative to min max normalization is to replace numbers with z scores. This is referred to as standardization.

Cartesian Products

2022-01-12

The Cartesian product of sets A and B is {(xy) : x ϵ A and y ϵ B}.

Bags Of Words And N-Grams

2022-01-12

Lists of words and word frequencies in text data are referred to as bags of words. Lists of phrases, up to some maximum word count, in text data are referred to as n-grams.

One Hot Encodings

2022-01-09

Converting a set of strings to a set of integers establishes an ordering. Converting a set of strings to a set of perpendicular unit vectors does not establish an ordering. This is referred to as one hot encoding.

Inference

2022-01-08

Inference is the process of using supervised learning models.

Validation And Testing Data

2021-03-22

Validation data are used to evaluate supervised learning method variations. Testing data are used to evaluate supervised learning models. Often training, validation and testing data are 80%, 10% and 10% respectively of all the data.

AutoML

2021-03-18

AutoML is a Google service which creates programs using machine learning methods. For example, it can create an image classifier given a large set of categorized images.

Regularization

2021-02-22

Regularization is the use of techniques to avoid overfitting in supervised learning. A common backpropagation method regularization technique is to adjust the error function to penalize large weights and biases more. L1 (Lasso) regularization adds a term containing the sum of the absolute values of all the weights and biases. L2 (Ridge) regularization adds a term containing the sum of the squares of all the weights and biases.

Backpropagation Method

2020-10-30

The backpropagation method is an extension of the perceptron method for acyclic artificial neural networks. Acyclic artificial neural networks are defined in terms of the following:

              functions f1, f2, f3, ..., fN

              weight matrices W1, W2, W3, ..., WN

              bias vectors b1, b2, b3, ..., bN

such that the result for an input vector i involves:

              o0 = i

              oj  = (fj (aj1), fj (aj2), fj (aj3), ..., fj (ajN)) for j = 1, 2, 3, ..., N

              aj   = Wj oj -1 + bj for j = 1, 2, 3, ..., N

where oN is the result.

In the backpropagation method, each weight matrix and bias vector is updated for each input output vector pair (i, o) by subtracting a small fraction of the corresponding partial derivative of the error function Eo = (o - oN)2 / 2. The small fraction is referred to as the learning rate. For a derivation of the formulas to calculate these partial derivatives, click here.

Here is sample Python backpropagation method code:

#!/usr/bin/env python3

"""
Implements the backpropagation method.

Usage:
        ./backprop <data file>                        \
                   <data split>                       \
                   <number of hidden layers>          \
                   <number of hidden layer functions> \
                   <number of categories>             \
                   <learning rate>                    \
                   <number of epochs>

Data files must be space delimited with one input output pair per line.

Every hidden layer has the same number of functions.

The hidden layer functions are rectified linear unit functions.

The outer layer functions are identity functions.

initialization steps:
        The input output pairs are shuffled and the inputs mix max normalized.
        The weights and biases are set to random values.

Requires NumPy.
"""

import numpy
import sys

def min_max(data):
        """
        Finds the min max normalizations of data.
        """

        return (data - numpy.min(data)) / (numpy.max(data) - numpy.min(data))

def init_data(data_file, data_split, n_cat):
        """
        Creates the training and testing data.
        """

        data         = numpy.loadtxt(data_file)
        numpy.random.shuffle(data)
        data[:, :-1] = min_max(data[:, :-1])
        outputs      = numpy.identity(n_cat)[data[:, -1].astype("int")]
        data         = numpy.hstack((data[:, :-1], outputs))
        data_split   = int((data_split / 100) * data.shape[0])

        return data[:data_split, :], data[data_split:, :]

def accuracy(data, weights, biases, n_cat):
        """
        Calculates the accuracies of models.
        """

        results = model(data[:, :-n_cat], weights, biases)
        outputs = numpy.argmax(data[:, -n_cat:], 1)

        return 100 * (results == outputs).astype(int).mean()

def model_(inputs, weights, biases, relu = True):
        """
        model helper function
        """

        results = numpy.matmul(weights, inputs.T).T + biases
        if relu:
                results = numpy.maximum(results, 0)

        return results

def model(inputs, weights, biases):
        """
        Finds the model results.
        """

        results = model_(inputs, weights[0], biases[0])
        for e in zip(weights[1:-1], biases[1:-1]):
                results = model_(results, e[0], e[1])
        results = model_(results, weights[-1], biases[-1], False)
        results = numpy.argmax(results, 1)

        return results

def adjust(weights, biases, input_, output, func_inps, func_outs, learn_rate):
        """
        Adjusts the weights and biases.
        """

        d_e_f_i = [func_outs[-1] - output]
        d_e_w   = [numpy.outer(d_e_f_i[-1], func_outs[-2])]
        for i in reversed(range(len(weights) - 1)):
                func_deriv = numpy.clip(numpy.sign(func_inps[i]), 0, 1)
                vector     = numpy.matmul(weights[i + 1].T, d_e_f_i[-1])
                func_out   = func_outs[i - 1] if i else input_
                d_e_f_i.append(numpy.multiply(vector, func_deriv))
                d_e_w.append(numpy.outer(d_e_f_i[-1], func_out))
        for i, e in enumerate(reversed(list(zip(d_e_w, d_e_f_i)))):
                weights[i] -= learn_rate * e[0]
                biases[i]  -= learn_rate * e[1]

def learn(train_data, n_hls, n_hl_funcs, n_cat, learn_rate, n_epochs):
        """
        Learns the weights and biases from the training data.
        """

        weights = [numpy.random.randn(n_hl_funcs, train_data.shape[1] - n_cat)]
        for i in range(n_hls - 1):
                weights.append(numpy.random.randn(n_hl_funcs, n_hl_funcs))
        weights.append(numpy.random.randn(n_cat, n_hl_funcs))
        weights = [e / numpy.sqrt(e.shape[0]) for e in weights]
        biases  = [numpy.random.randn(n_hl_funcs) for i in range(n_hls)]
        biases.append(numpy.random.randn(n_cat))
        biases  = [e / numpy.sqrt(e.shape[0]) for e in biases]
        for i in range(n_epochs):
                for e in train_data:
                        input_    = e[:-n_cat]
                        func_inps = []
                        func_outs = []
                        for l in range(n_hls + 1):
                                input__   = func_outs[l - 1] if l else input_
                                func_inp  = numpy.matmul(weights[l], input__)
                                func_inp += biases[l]
                                relu      = numpy.maximum(func_inp, 0)
                                func_out  = relu if l != n_hls else func_inp
                                func_inps.append(func_inp)
                                func_outs.append(func_out)
                        adjust(weights,
                               biases,
                               e[:-n_cat],
                               e[-n_cat:],
                               func_inps,
                               func_outs,
                               learn_rate)

        return weights, biases

n_cat                 = int(sys.argv[5])
train_data, test_data = init_data(sys.argv[1], float(sys.argv[2]), n_cat)
weights, biases       = learn(train_data,
                              int(sys.argv[3]),
                              int(sys.argv[4]),
                              n_cat,
                              float(sys.argv[6]),
                              int(sys.argv[7]))
print(f"weights and biases:     {weights}, {biases}")
accuracy_             = accuracy(train_data, weights, biases, n_cat)
print(f"training data accuracy: {accuracy_:.2f}%")
accuracy_             = accuracy(test_data,  weights, biases, n_cat)
print(f"testing  data accuracy: {accuracy_:.2f}%")

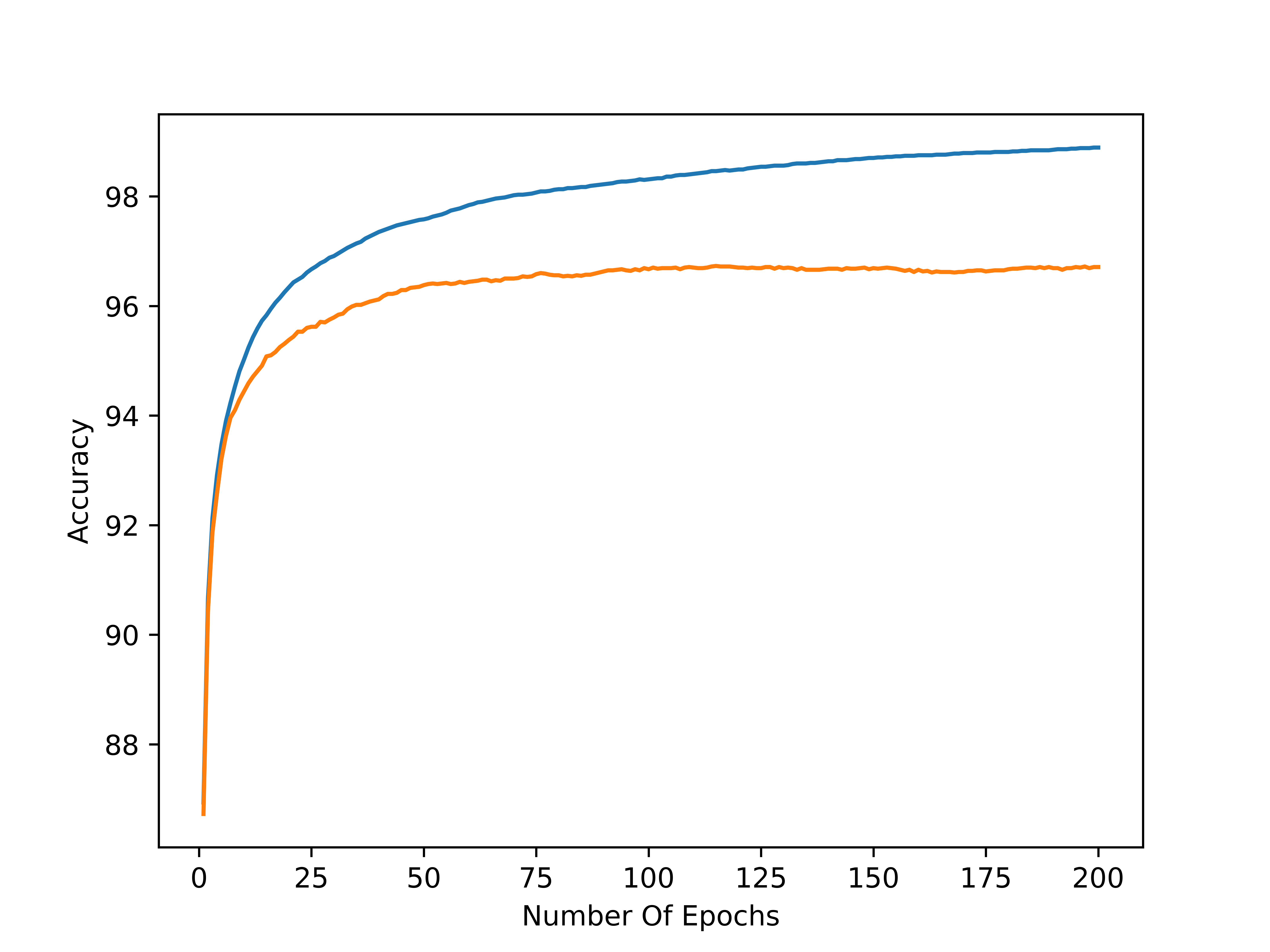
Here are sample results for the MNIST dataset (Modified National Institute Of Standards And Technology dataset) available from many sources such as Kaggle:

./backprop MNIST_dataset 80 2 64 10 0.001 100 
weights and biases:     [array([[ 0.20884894, -0.02542065, -0.10987643, ..., -0.15665534,
        -0.08775792,  0.0638999 ],
       [-0.00592018,  0.18332229, -0.01387026, ...,  0.06527793,
         0.13211286,  0.09518377],

...

        0.00713001, -0.402518  ,  0.21595368,  0.3279246 , -0.02778006,
        0.01107208,  0.03471949, -0.27601775, -0.21284684, -0.1401997 ,
       -0.20863759, -0.05693757,  0.09183485, -0.06464501]), array([-0.01450932, -0.00257944, -0.02661391,  0.026662  , -0.01042119,
       -0.04099369,  0.66813539,  0.50147859, -0.08111961, -0.0198442 ])]
training data accuracy: 98.15%
testing  data accuracy: 96.43%

Here is a plot of the accuracy versus the number of epochs for a data split of 80 / 20, two hidden layers, 64 functions per hidden layer, 10 categories, and, a learning rate of 0.001. Blue denotes the training data accuracy and orange denotes the testing data accuracy:

backprop accuracy

Feedforward Artificial Neural Networks

2020-10-30

Feedforward artificial neural networks are acyclic artificial neural networks.

Rectified Linear Unit

2020-10-25

The rectified linear unit is a popular artificial neural network function. It is widely used in deep learning and is also referred to as the ramp function:

relu

Deep Learning

2020-10-24

Deep learning methods are artificial neural network supervised learning methods involving large numbers of compositions of functions.

Samples, Targets, Classes And Categories

2020-10-21

Supervised learning inputs are also referred to as samples.
Supervised learning outputs are also referred to as targets, classes and categories.

Old Hype

2020-10-18

"The Navy revealed the embryo of an electronic computer today that it expects will be able to walk, talk, see, write, reproduce itself and be conscious of its existence." — New York Times, July 8, 1958

Perceptron Method

2020-10-07

The perceptron method is one of the earliest and simplest artificial neural network supervised learning methods. It involves the single function H(w · i + b) where H is the Heaviside step function and i is the input. w and b are referred to as the weights and the bias. For every input output pair (i, o), a scaled version of i is added to w, and, the scale factor of i is added to b. The scale factor for every i is γ(o - H(w · i + b)) for some small γ referred to as the learning rate.

Here is sample Python perceptron method code:

#!/usr/bin/env python3

"""
Implements the perceptron method.

Usage:
        ./perceptron <data file> <data split> <learning rate> <number of epochs>

Data files must be space delimited with one input output pair per line.

initialization steps:
        Input output pairs are shuffled.
        Inputs             are min max normalized.
        Weights            are set to random values.

Requires NumPy.
"""

import numpy
import sys

def min_max(data):
        """
        Finds the min max normalizations of data.
        """

        return (data - numpy.min(data)) / (numpy.max(data) - numpy.min(data))

def init_data(data_file, data_split):
        """
        Creates the training and testing data.
        """

        data         = numpy.loadtxt(data_file)
        numpy.random.shuffle(data)
        data[:, :-1] = min_max(data[:, :-1])
        ones         = numpy.ones(data.shape[0])[None].T
        data         = numpy.hstack((data[:, :-1], ones, data[:, -1][None].T))
        data_split   = int((data_split / 100) * data.shape[0])

        return data[:data_split, :], data[data_split:, :]

def accuracy(data, weights):
        """
        Calculates the accuracies of models.
        """

        model_ = model(data[:, :-1], weights)

        return 100 * (model_ == data[:, -1]).astype(int).mean()

def model(inputs, weights):
        """
        Finds the model results.
        """

        return (numpy.matmul(inputs, weights) > 0).astype(int)

def learn(data, learn_rate, n_epochs):
        """
        Learns the weights from data.
        """

        weights = numpy.random.rand(data.shape[1] - 1) / (data.shape[1] - 1)
        for i in range(n_epochs):
                for e in data:
                        model_   = model(e[:-1], weights)
                        weights += learn_rate * (e[-1] - model_) * e[:-1]

        return weights

train_data, test_data = init_data(sys.argv[1], int(sys.argv[2]))
weights               = learn(train_data, float(sys.argv[3]), int(sys.argv[4]))
print(f"weights and bias:       {weights}")
print(f"training data accuracy: {accuracy(train_data, weights):.2f}%")
print(f"testing  data accuracy: {accuracy(test_data,  weights):.2f}%")

Here are sample results for a subset of the popular MNIST dataset (Modified National Institute Of Standards And Technology dataset) available from many sources such as Kaggle. Results denote whether the inputs correspond to the number eight or not:

% ./perceptron MNIST_subset_dataset 80 0.000001 100
weights and bias:       [ 9.60835270e-04  7.78817831e-04  9.09208513e-04  1.23811178e-04
  1.24167654e-03  6.78889421e-04  5.61003207e-04  6.95360517e-04
  7.41301570e-04  7.99198618e-04  5.40027576e-04  1.53847709e-05
  6.85229222e-04  7.34466515e-04  1.10555270e-03  3.54355472e-04

...

  3.49190104e-04  9.08839645e-04  2.15854858e-04  7.85936614e-04
  2.48270482e-04  7.91941436e-04  5.33470893e-04  4.43331643e-04
  9.53736704e-04  2.42570411e-04  9.22297554e-04  9.67634113e-04
 -1.70084762e-03]
training data accuracy: 89.75%
testing  data accuracy: 86.32%

Here is a plot of the accuracy versus the number of epochs for a data split of 80 / 20 and a learning rate of 0.000001. Blue denotes the training data accuracy and orange denotes the testing data accuracy: perceptron accuracy

Hyperparameters

2020-10-07

Hyperparameters specify machine learning method variations

Artificial Neural Networks

2020-10-07

Artificial neural networks (ANNs) are function compositions which correspond to idealized neural networks. The functions are referred to as layers.

Ensemble Methods

2020-10-05

Ensemble methods involve multiple machine learning methods.

Min Max Normalization

2020-10-05

Min max normalizations transform sets of numbers into ones with the extrema zero and one. Let m and M denote the minimum and maximum of a set of numbers. The min max normalization of that set replaces every element x with (x - m) / (M - m).

Models

2020-10-05

Models are function approximations created with supervised learning methods.

Epochs

2020-10-05

Epochs are supervised learning steps which process all of the input output pairs.

Classification And Regression

2020-10-05

Using supervised learning methods to approximate piecewise constant functions is referred to as classification. Using supervised learning methods to approximate continuous functions is referred to as regression.

Training Data

2020-10-04

Training data are supervised learning input output pair sets.

Modes

2020-10-04

Modes are the most frequent elements of sets.

K Nearest Neighbors Method

2020-10-04

The k nearest neighbors method is one of the simplest supervised learning methods. It involves finding the most similar inputs in the set of input output pairs.

Here is sample Python code to determine the accuracy of the k nearest neighbors method on data:

#!/usr/bin/env python3

"""
Determines the accuracy of the k nearest neighbors method on data.

Usage:
        ./k_nn <data file> <data split> <number of nearest neighbors>

Data files must be space delimited with one input output pair per line.

initialization steps:
        Input output pairs are shuffled.
        Inputs             are min max normalized.

Requires SciPy and NumPy.
"""

import scipy.stats
import numpy
import sys

def min_max(data):
        """
        Finds the min max normalizations of data.
        """

        return (data - numpy.min(data)) / (numpy.max(data) - numpy.min(data))

def init_data(data_file, data_split):
        """
        Creates the model and testing data.
        """

        data         = numpy.loadtxt(data_file)
        numpy.random.shuffle(data)
        data[:, :-1] = min_max(data[:, :-1])
        data_split   = int((data_split / 100) * data.shape[0])

        return data[:data_split, :], data[data_split:, :]

def accuracy(model_data, test_data, n_nn):
        """
        Calculates the accuracies of models.
        """

        model_ = model(test_data[:, :-1], model_data, n_nn)

        return 100 * (model_ == test_data[:, -1]).astype(int).mean()

def model_(input_, model_data, n_nn):
        """
        model helper function
        """

        squares = (input_ - model_data[:, :-1]) ** 2
        indices = numpy.sum(squares, 1).argsort()[:n_nn]

        return scipy.stats.mode(numpy.take(model_data[:, -1], indices))[0][0]

def model(inputs, model_data, n_nn):
        """
        Finds the model results.
        """

        return numpy.apply_along_axis(lambda e : model_(e, model_data, n_nn),
                                      1,
                                      inputs)

model_data, test_data = init_data(sys.argv[1], float(sys.argv[2]))
n_nn                  = int(sys.argv[3])
print(f"testing data accuracy: {accuracy(model_data, test_data, n_nn):.2f}%")

Here are sample results for the popular Iris flower dataset available from many sources such as Scikit-learn:

% ./k_nn Iris_flower_dataset 80 1
testing data accuracy: 96.67%

% ./k_nn Iris_flower_dataset 80 2
testing data accuracy: 93.33%

Symbols And Minds

2020-10-03

Symbol manipulation can correspond to thinking. Therefore, computers can correspond to minds and replace humans at some mental tasks.

Underfitting And Overfitting

2020-10-03

Underfitting is the creation of supervised learning continuous function approximations that are too simple. Overfitting is the creation of supervised learning continuous function approximations that are too complex. Both decrease accuracy.

NumPy Arrays

2020-10-02

NumPy arrays are a fundamental data structure of machine learning with Python. Pandas, SciPy, Scikit-learn and many other libraries use Numpy arrays.

Labeled

2020-10-02

Labeled means categorized. Supervised learning methods require labeled inputs.

Statistics

2020-09-30

Statistics is the study of obtaining, analyzing and presenting data.

Supervised Learning

2020-09-30

Supervised learning is automatic programming with predetermined inputs and outputs. Applications include email spam filters, fingerprint authentication and voice recognition.

The Problem With The Term Intelligence

2020-09-28

Intelligence does not have a rigorous definition. Rather than trying to define intelligence, Alan Turing suggested trying to create devices that act as if they have intelligence. Quality can be measured by their ability to fool people.

Computers Are Symbol Manipulation Machines

2020-09-28

Computers are symbol manipulation machines.

Machine Learning Is Automatic Programming

2020-09-28

Machine learning methods automatically create programs. They are useful when creating programs is inconvenient, impractical or even impossible for humans. Many inventions surpass humans in limited ways. Cars move faster than humans. Cranes lift more than humans. Calculators calculate better than humans. Now an invention surpasses humans at programming!